-
In this new post, Xiang Song, an associate researcher from the Institute of Atmospheric Physics, Chinese Academy of Sciences, discusses and shares recently published paper in the Journal of Plant Ecology, “Parameterization of height–diameter and crown radius–diameter relationships across the globe.”
Why study tree height-diameter and radius-diameter relationships on a global scale?
Tree height, diameter at breast height, and crown radius are three fundamental measures of tree growth. The relationships among them are not only crucial for estimating forest carbon stocks but also are important for simulating vegetation-atmosphere interactions in Earth System Models/Dynamic Global Vegetation Models (ESMs/DGVMs). However, in many current ESMs/DGVMs, a single, simple mathematical function is often used to describe these relationships for all Plant Functional Types (PFTs) across the entire globe. It is convenient, but likely inaccurate, and potentially introducing significant simulation biases. We wanted to know: for different forest types, like needleleaf and broadleaf trees in boreal, temperate, and tropical zones, does a better and more universal mathematical function exist for each of them? The answer is vital for improving model accuracy and for more reliably predicting forest ecosystem transitions under global change.
What are the findings of this study?
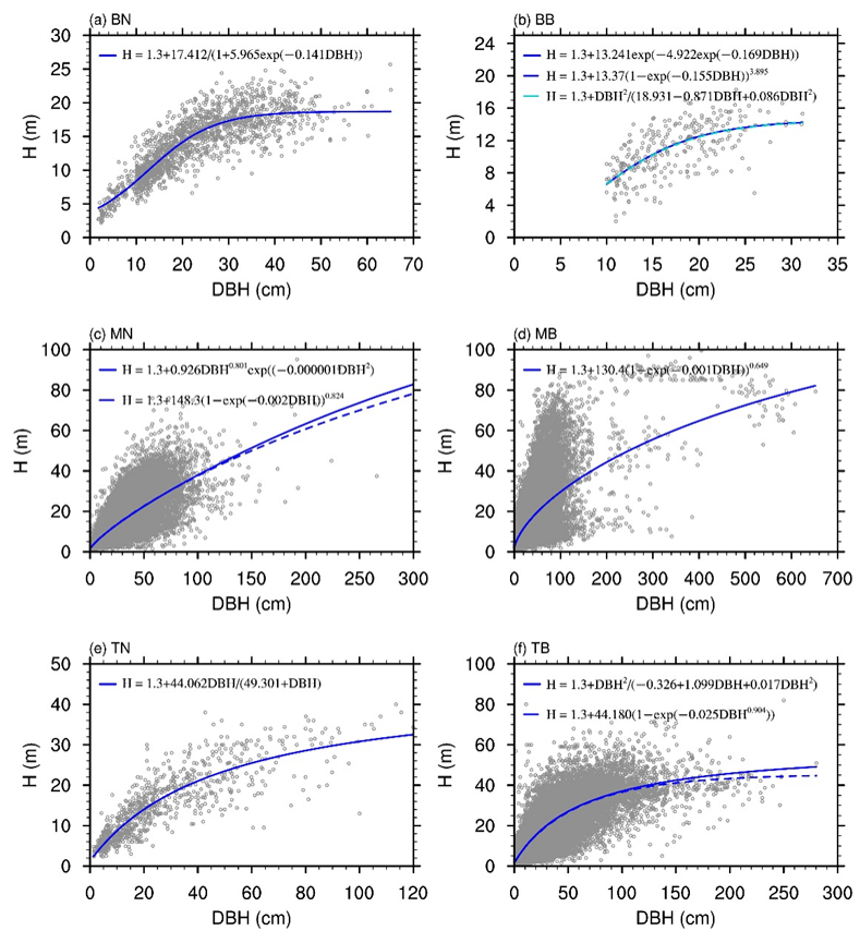
Based on a global plant trait database, this study evaluated the ability of 29 functions to fit the H–DBH and CR–DBH relationships for six different plant functional types (PFTs) on a global scale. We found that most functions were able to capture the H–DBH relationship relatively accurately for tropical PFTs and boreal needleleaf forests, but performed slightly less well for temperate PFTs and boreal broadleaf forests. The Logistic function was the most suitable for fitting the H–DBH relationship of boreal PFTs, while the Chapman–Richards function performed best for temperate PFTs. A fractional function satisfactorily captured the H–DBH relationship for tropical needleleaf trees, whereas the Weibull function and some composite functions were the best choices for tropical broadleaf trees. For the CR–DBH relationship, the fitting capabilities of all functions were comparable for most PFTs (except boreal broadleaf forest). Among them, the Logistic function provided the best fit for the CR–DBH relationship of the two boreal PFTs and temperate broadleaf trees, while some exponential functions demonstrated higher skill for temperate needleleaf trees and the two tropical PFTs. This work provides valuable clues for improving parameterizations in vegetation models and for field biomass/carbon estimations in forests.
Fig. 1. The relationship between H and DBH for six different PFTs. The blue line is the best fitting function for each PFT. BN: Boreal Needleleaf trees, BB: Boreal Broadleaf trees, MN: Temperate Needleleaf trees, MB: Temperate Broadleaf trees, TN: Tropical Needleleaf trees, TB: Tropical Broadleaf trees.
Fig. 2. The relationship between CR and DBH for six different PFTs. The blue line is the best fitting function for each PFT. BN: Boreal Needleleaf trees, BB: Boreal Broadleaf trees, MN: Temperate Needleleaf trees, MB: Temperate Broadleaf trees, TN: Tropical Needleleaf trees, TB: Tropical Broadleaf trees.
Some views on ecological research
Nature is complex yet ordered. Our work demonstrates that treating the world's forests as a diverse whole, rather than a uniform entity, is a key step towards improving the simulation capability of our models. Through this research, we have essentially drawn a more accurate 'growth blueprint' for the world's major forest types. We believe that applying these customized functions in models will lead to more realistic simulations of forest structure, biomass, and interactions between vegetation and atmosphere, thereby providing us with more reliable predictive tools to meet the challenges of climate change.
About the author
Xiang Song: Associate Researcher at the State Key Laboratory of Earth System Numerical Modeling and Application, Institute of Atmospheric Physics, Chinese Academy of Sciences. Her research focuses on the development and application of Earth System Models/Global Dynamic Vegetation Models, land-atmosphere interactions, and related areas. She has published over 20 academic papers. Her work has been dedicated to improving the accuracy of vegetation model parameterizations and advancing the understanding of vegetation-atmosphere feedback mechanisms.
If you are interested in more details about the story, please read our paper “Xiang Song*, Jinxu Li, Xiaodong Zeng. Parameterization of height-diameter and crown radius-diameter relationships across the globe” published in Journal of Plant Ecology (https://doi.org/10.1093/jpe/rtae005).
CiteScore: 5.7
Yuanhe Yang
Bernhard Schmid
ISSN 1752-9921(print)
ISSN 1752-993X(online)




